Mongkolsery Lin1, Brian Fisher2, Somsak Orankitjaroen3
1,3Department of Mathematics
Faculty of Science
Mahidol University
Bangkok 10400, THAILAND 2Department of Mathematics
University of Leicester
Leicester, LE1 7RH, UK
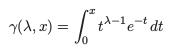
Abstract. The lower incomplete Gamma function γ(λ,x) is defined for λ>0 by
and more generally, the function γs(λ,x) is defined for λ>0 by
for s=0,1,2,... . If λ≤0 the function γs(λ,x) is defined by
for s=0,1,2,... . It is proved that
for s=0,1,2,... and
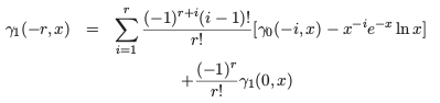
for r=1,2,... . Further results on the incomplete gamma function are also proved.
AMS Subject classification: 33B10
Keywords and phrases: gamma function, neutrix, neutrix limit
Download full article from here (pdf format).
DOI: 10.12732/ijam.v27i1.4
Volume: 27
Issue: 1
Year: 2014